North America 2018
16 \
World Cement
difficult to launch even with the current administration’s
more open environmental position).
Improving capacity
That is not to say producers are idling: almost all US
cement manufacturers are engaged in either a small
or large-scale activity, meant to optimise cement
manufacturing, that translates into heightened
environmental compliance, control, or addition of some
small extra production capacity. Environmentally, even if
the US Environemtnal Protection Agency’s stance is more
relaxed, manufacturers are well aware that it is from
the local communities that they have to gain the seal of
approval.
In the near future, CW Research expects that adding
more capacity will happen rather unconventionally.
Looking at recent attempts to enhance capacity in the
conventional way in the US, they are either trapped in
year-long hearings and debates that end up dissuading the
potential investor, or stopped before construction by local
communities. Historically, such has been the case for Titan
Cement in North Carolina, LafargeHolcim in New York,
Grupos Cimentos Chihuahua in NewMexico, and most
recently, Ecocem’s plans in San Francisco.
Adding new capacity is likely to happen through mobile
grinding plants installed at sea or rail terminal location.
Though there are no such pieces of equipment in the
US (most recently, there have been some small capacity
grinding plants installed at terminal level, but not mobile
ones), all market indicators point to the benefits of such
equipment. Importing clinker from abroad is easier and
cheaper than ever, to both the West and East Coasts, as
sources become more and more diversified. Manufacturers
in the US are largely part of international groups that can
easily use trading networks to connect to the US, meaning
sub-regional consumption hotspots are shifting quicker
than ever.
New capacity, however, is not a priority for North
American producers, which are trying to limit CAPEX
and increase pricing to bring profits back to healthy
levels. That also explains why 2017 was an eventful
year in terms of mergers and acquisitions. CRH sold its
distribution business, but is frontrunner to buy Suwannee
American Cement from Votorantim and the privately-held
Ash Grove Cement. HeidelbergCement sold its stake in
Lehigh White Cement, but purchased seven quarries and
three ready-mix plants in the Northwest from CEMEX. The
Turkish Cimsa, which exports white and gray cement to
the US, launched a subsidiary that enables its to bypass
third parties in distributing its products. Cementos Argos,
after a buying spree in the US in the last couple of years,
emerges as a dominant player in the Southeast.
Most companies in the US increased their ex-works
pricing for cement in 2017, but not only because of the
foundation provided by growing demand. Input costs of
coal, petcoke, and freight saw an uptick during the year.
The healthy EBITDA growth all US cement operations
witnessed during the year would have likely been offset
were it not for the price growth strategies adopted by
manufacturers.
Conclusion
If anything, 2018 already seems to be a more turbulent
year than 2017, but CW Research expects that the
cement sector will have to absorb fewer shocks than it
has had to in the past. Despite the controversy around
the infrastructure plans, CW Research argues that at
least a small fraction of them will start in 2018, even if
only due to populist reasoning. The backbone of the
industry, however, will not be made out of infrastructure
projects, but in the residential sector that will continue
to take the lead, supported by favourable interest rates
and single-family construction. Looking at the evolution
of demand long term to 2050, CW Research anticipates
that consumption per capita will plateau and moderately
decrease, in an indirect relationship to the positive
growth of GDP per capita.
About the author
Raluca Cercel is a Senior Analyst and Consultant responsible
for various ongoing research activities. Cercel works on
consulting projects, multi-client studies, and various key
initiatives, including global market price assessments and
market intelligence activities. Cercel holds a degree in
International Relations and a Masters in Transatlantic Studies
from Babes-Bolyai University in Romania.
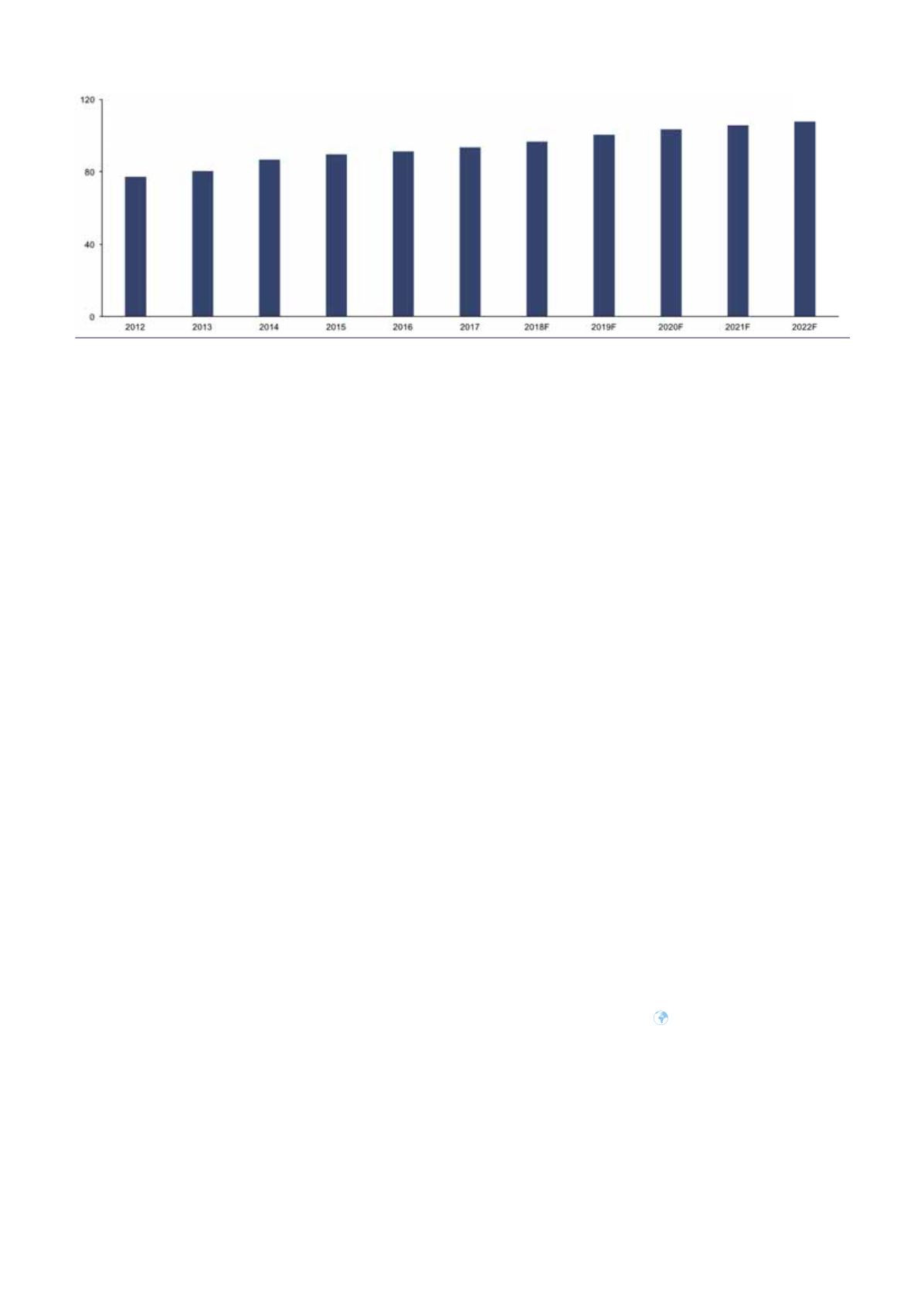
US cement demand (million t).
Source: CW Research’s Global Cement Volume Forecast Report, 1H18.




